Countdown To Christmas!
|
|
84 files
-
Lift Manual 1978-1979 8-6717 TIPL.pdf
By gwest_ca-(File Mod)
Ipl from Toro Master Parts Viewer
1 page 118.61KB
Model 86717 @ Toro
Fits
1978 B-111 4-speed model 82-11BP01
1978 C-81 8-speed model 81-08K801
1979 B-81 6-speed model 92-08BF01
1979 B-111 4-speed model 92-11BP01
1979 B-111 6-speed model 92-11BF01
In 1979 all 8-6717 lifts were converted to 8-6718 (86718) using Service Assembly 105172. These lifts not used if 8-4321 (84321) lift is installed.
72 downloads
Updated
-
Lift Electric 1975-1976 8-4222 TIPL.pdf
By gwest_ca-(File Mod)
IPL from Toro Master Parts Viewer
2 pages 131.49KB
Model 84222 @ Toro
Replaces 8-4221
Fits
1975 B-80 4-speed model 1-0141
1975 C-100 8-speed model 1-0391
1975 C-120 8-speed models 1-0357, 1-0375 and 1-0395
1975 C-160 8-speed model 1-0381
1976 B-80 8-speed model 61-08K801
1976 B-100 8-speed model 61-10K801
1976 C-120 8-speed model 61-12K801
1976 C-160 8-speed model 61-16K801
135 downloads
Updated
-
Light kit 1974-1975 8-0820 TIPL.pdf
By gwest_ca-(File Mod)
IPL from Toro Master Parts Viewer
2 pages 139.02KB
Fits D-160
Standard equipment on D-180 and D-200 in 1974
183 downloads
Updated
-
Lift Hydraulic 1974 8-4112 TIPL.pdf
By gwest_ca-(File Mod)
IPL from Toro Master Parts Viewer
2 pages 164.47KB
Kit for 1974 B-100 Auto and C-120 Auto
Notice the spring dimensions added to the illustration. Looks like 13/16 and 7/8.
166 downloads
Updated
-
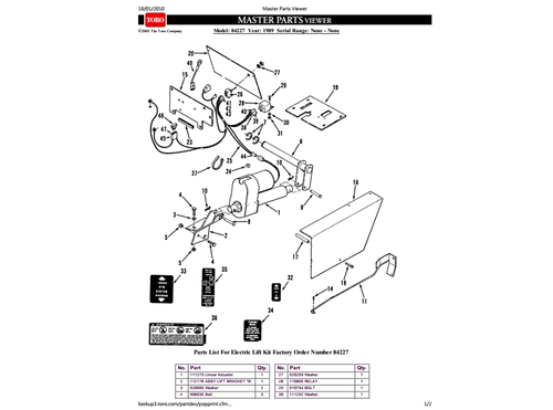
Lift Electric 1989-1990 8-4227 TIPL.pdf
By gwest_ca-(File Mod)
IPL from Toro Master Parts Viewer
2 pages 163.37KB
Model number 84227 at Toro
Fits
1989 518-H model 31-18OE02
1990 520-8 model 41-20O801
116 downloads
Updated
-
Updated
-
Updated
-
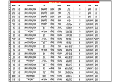
Chart Wheel Horse Products Master Model List 12 pages.pdf
By admin-(Admin)
12 pages 234.89KB
644 downloads
Updated
-
Lift Hydraulic 1970-1973 Rear 8-4121 OM IPL.pdf
By admin-(Admin)
Operator manual #A-5204
IPL
84121 at Toro
Fits rear of GT-14
Independent Hydraulic Lift for use with 8-5412 3-point hitch
1970 Lift Hydraulic Rear model 8-4121
1971 Lift Hydraulic Rear model 8-4121
1972 Lift Hydraulic Rear model 8-4121
1973 Lift Hydraulic Rear model 8-4121
876 downloads
Updated
