About This File
Service manual
High resolution
Form No. A-1392
P/N 492-4004
Section I
Models 5003-5010
16 pages 14.3MB
Section II
Models 5053-5058 3-Speed
18 pages 18.3MB
Section III
Model 5060 6-Speed
16 pages 12MB
Section IV
4-Speed
14 pages 8.3MB
Section V
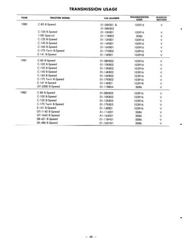
8-Speed
16 pages 9.5MB
1" axles used in Uni-Drive transmissions
3-Speed transmission models - 5003 (1958-1959), 5007 (1961), 5010 (1960-1961), 5025 (1962-1964), 5046 (1964), 5048 (1965), 5049 (1965), and 5053 (1966-1969)
4-Speed transmission models - 5080 (1971), 5084 (1974-1975) and 5085 (1972-1974)
8-Speed transmission models - 5086 (1972-1973 and 1980-1984) and 110996 (1985-1993)
